我国新疆砂砾岩油藏储量丰富。然而砂砾岩储层具有非均质性较强、孔喉结构复杂、孔径分布较广的特点,砂砾岩全尺度孔隙结构和可动油分布的定量化分析十分关键。
核磁共振((NMR)是一种快速、无损的测孔技术。它通过测试饱和含氢流体岩心的核磁共振T2谱,获得岩石物性和流体赋存状态信息(孔隙度、渗透率、孔径分布、可动流体占比等)。而表征全尺度孔径分布的关键是确定横向弛豫时间T2与孔径r之间的转换系数C。
转换系数C值的获取方法有经验法、T2截止值法和相似性法。经验法仅适用于特定均质性较强储层;T2截止值法仅适用于孔隙连通性较好的储层;相似性法是目前针对低渗、致密储层zui为常用的方法,其中T2谱与高压压汞孔径分布曲线的结合zui为普遍。然而砂砾岩渗透率相对较低、汞注入饱和度通常低于50%,核磁结合高压压汞确定C值的方法对砂砾岩并不适用。
本文提出一种低温氮气吸附结合核磁共振确定C值的方法。低温氮气吸附可表征孔喉分布,可识别的zui小孔径取决于设定的zui小相对压力。而核磁共振可表征的zui小孔隙取决于饱和流体的原子尺寸和核磁共振参数TE值。当选取合适的饱和流体和合适的参数时,通过低温氮气吸附获得的孔径分布和核磁共振T2谱就会在<200nm范围内有很好的相似性。
1.实验简介:
本文制备了18组取自新疆油田砂砾岩储层的样本(表1),将每组样本分为六份,分别进行了X射线衍射(XRD)、铸体薄片、扫描电镜(SEM)、低温氮气吸附(LTNA)、高压压汞(HPMI)和NMR测试,其中NMR测试通过开云足球体育_开云足球(中国)公司生产的MesoMR3-060H-I核磁共振仪进行。
表1 砂砾岩样本岩性及主要矿物质含量

矿物组分和沉积成分特征:砂砾岩以石英(44.3%)和长石(40.1%)为主,其次为粘土矿物(10.3%),见表1。通过铸体薄片分析得知砂砾岩沉积碎屑颗粒以岩石碎屑(58.2%)为主,其次是长石碎屑(15.9%)和石英碎屑(12.3%)。颗粒分选性由中到差,圆度主要为近圆形和近棱角形。石英和长石碎屑越多,微米级孔隙越发育;火山岩碎屑、泥质基质和胶结物越多,微米级孔隙越不发育。

图1 铸体薄片中主要的孔隙类型(Q,石英;F,长石;R,岩屑;C,碳酸盐胶结物)
储集空间特征:结合铸体薄片和扫描电镜(见图2),砂砾岩储集空间有五种类型:原生粒间孔、粒间溶孔、铸模孔、粒内溶孔和晶间孔。

图2 扫描电镜中的主要孔类型
原生粒间孔、粒间溶孔和铸模孔尺寸相对较大,从几十到几百纳米;粒内溶孔孔径范围较广,从几十纳米到几十微米;粘土晶间孔孔径相对较小,主要在几纳米到几十纳米分布。
低温氮气吸附:砂砾岩氮气吸附/解吸等温线存在明显的滞后环,滞后环类型可以反映多孔介质的孔隙形态。砂砾岩样本的滞后环大致分为四种类型(见图3):样本1#、8#、5#和11#分别对应开缝孔、狭缝孔、墨水瓶孔和细颈宽体的墨水瓶孔。

图3 砂砾岩样本氮气吸附/解吸等温线
通过DFT模型获得的砂砾岩孔径分布曲线见图4。曲线呈左半峰或单峰形态,主要分布在大于0.02μm的部分。

图4 通过DFT模型获得的砂砾岩样本孔径分布
核磁共振 T2 谱:本文测试了样本在三种状态下的核磁共振 T2 谱:(1)洗油并110℃干燥后;(2)正十二烷饱和-So;(3)正十二烷离心-Soir。洗油干燥样本的 T2 谱代表岩石颗粒表面的束缚水和粘土层间紧密结合的羟基水。So和Soir状态下的 T2 谱需要减去干燥样本的T2谱。

图5 So和Soir状态下的NMR T2谱
样本在So状态下的NMR T2 谱如图5实线所示。T2谱整体呈三峰结构,存在四种类型:类型I有三个连续峰,P1峰zui高,P2与P3较为接近;类型II有明显的P1和P3峰,P3峰左移;类型III有明显的P1和P2峰或P1+P2峰;类型IV P1峰幅值zui高,P2和P3峰均较小。
Soir状态通过将饱和油状态下的样本离心去可动油获得。通过计算得知本文残余油存在于小于0.014μm的孔隙或由小于0.014μm的喉道控制的孔隙中。Soir状态下的样本 T2 谱如图5虚线所示,大部分样本存在两个峰(P1和P2)。
T2 截止值通过So和Soir状态下 T2 谱确定,见图6。18个实验样本的T2截止值由0.438到12.993ms变化,显著低于常规的砂岩和碳酸盐岩。 T2 截止值的变化主要受岩性、润湿性、铁磁成分和孔喉结构影响。

图6 样本通过So和Soir状态下T2谱计算的截止值
通过比较So和Soir状态下 T2 谱我们可以定量评价砂砾岩可动油饱和度(Smo)。当样本从类型I到类型IV变化时,Smo呈递减趋势(47.49-25.01%)。
转换T2谱为孔径分布的新方法

图7 通过DFT模型计算的孔径分布与Soir状态下的NMR T2谱对比
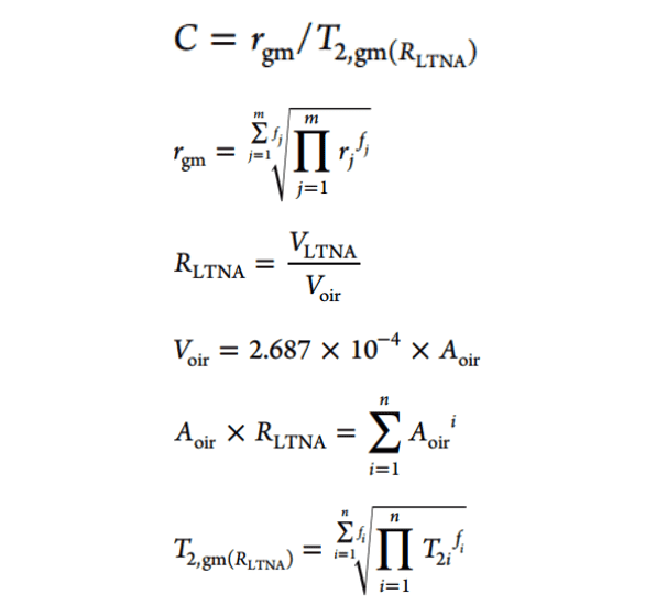
通过比较Soir状态的 T2 谱和低温氮气吸附获得的孔径分布曲线,我们发现Soir状态下 T2 谱的第1峰与DFT模型的孔径分布在形态和幅值上有很好地相似性(见图7)。因此,我们可以通过DFT孔径分布校准NMR T2 谱。关于转换系数C值的计算公式如下:

其中,rgm为DFT模型孔径分布的加权几何平均值;RLTNA为对应Voir的低温氮气吸附实验表征的孔隙体积占比;Voir为Soir状态的NMR孔体积;Aoir为Soir状态下的NMR累积信号幅值;T2gm(RLTNA)为对应RLTNA占比的Soir状态T2谱的T2加权几何平均。

图8 砂砾岩样本全尺度孔径分布
通过转换系数C值得到的样本全尺度孔径分布见图8。类型I样本孔隙主要在0.001-200μm范围发育;类型II样本孔隙主要在小于100μm范围分布;类型III样本主要为小于20μm的孔隙;类型IV样本主要为纳米级孔隙,微米级孔隙较少。
可动油分布特征及控制因素分析:
对于所有样本,大于6μm的孔隙主要为粒间孔、粒间溶孔和铸模孔,主要含可动油(占比超90%);0.1到6μm的孔隙主要为粒内溶孔和粘土晶间孔,该范围内可动油占比随孔径增加而快速增加(20-80%);小于0.1μm的孔隙主要为粘土晶间孔,主要含残余油,可动油占比普遍较低(<20%)。可以发现,大尺寸孔隙占比越大,可动油饱和度越高。
通过进一步分析可动油体积和压汞体积的关系发现,可动油体积主要为喉道大于0.44μm的孔体积。微观来看可动油分布主要受孔喉结构影响,图9总结了砂砾岩主要的孔喉结构类型,可动油占比:A>C>B>D>E。

图9 砂砾岩中发育的五种主要的孔喉结构
宏观来看,矿物组分和岩石结构影响孔喉结构特征,进而决定油的可动性。石英含量越高,喉道和初始孔尺寸越大,A型孔喉越发育;长石含量越高,A、B和C型孔喉越发育;方解石含量越高,孔喉尺寸越小,D型孔喉越发育;粘土矿物含量越高,D和E型孔喉越发育。可动油饱和度随石英、长石矿物含量增加而增加,随方解石和粘土矿物含量增加而减小。
本文对18组砂砾岩样本进行了全尺度孔径分布表征和可动油分布和控制因素的定量化研究。有以下成果:
电话:400-060-3233
售后:400-060-3233
返回顶部